You open your homework, see a fraction with variables, maybe a polynomial on top and bottom, and suddenly it feels way more complicated than regular math.
The good news?
Once you understand the process, learning to simplify rational expressions becomes a lot more predictable.
This guide will walk you through it step by step, with a clear example so you can actually see how it works.
What is a Rational Expression?
Let’s keep it simple.
A rational expression is just a fraction where the numerator and denominator are algebraic expressions instead of regular numbers.
So instead of something like:
- 3/4
You might see:
- (x² + 3x) / (x + 2)
Here:
- The numerator is the top part
- The denominator is the bottom part
Both can be a polynomial, which means they include variables like x, numbers, and powers.
So you can think of a rational expression as an algebraic fraction.
Why Do We Simplify Rational Expressions?
At first, it might feel like extra work. But simplification actually makes everything easier later.
When you simplify a rational expression, you:
- Make it easier to solve the equation
- Prepare for dividing rational expressions
- Get ready for adding and subtracting rational expressions
- Reduce mistakes on tests and multiple choice questions
It’s similar to reducing a fraction to its lowest terms.
For example:
- 8/12 becomes 2/3
Same idea here. You’re just working with variables and polynomials instead of numbers.
As problems get more complex, especially in algebra and precalculus, many students find that working with precalculus tutors helps them understand each step more clearly.

How To Master Precalculus with Expert Online Tutors
Precalculus feels confusing with trigonometry and algebra? This guide simplifies pre-calculus concepts and builds mathematical skills for calculus success
How to Simplify Rational Expressions
Let’s break the process into simple steps you can follow every time.
Step 1: Factor the Numerator and Denominator
This is the most important step.
Before you try to simplify anything, you need to factor both the numerator and the denominator completely.
You’re looking for a common factor.
Example idea:
- x² + 3x → factor into x(x + 3)
Factoring helps you see what can be simplified later.
Step 2: Cancel Common Factors
Once everything is factored, you can cancel any common factor that appears in both the numerator and the denominator.
Important detail:
- You can only cancel a factor, not just any term
That’s a common mistake.
If something is multiplied, you can cancel it.
If it’s added, you cannot.
Step 3: Rewrite the Simplified Form
After canceling, rewrite what’s left.
That’s your simplified form.
Quick check:
- Make sure nothing else can be simplified
- Check that the denominator of the rational expression is not zero
Example of Simplifying a Rational Expression
Let’s go through a full example step by step.
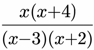
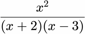
Question: Simplify the rational expression

Step 1: Factor everything
Numerator:
- x² + 4x → x(x + 4)
Denominator:
- x² – x – 6 → (x – 3)(x + 2)
Now the expression looks like:

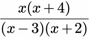
Step 2: Cancel common factors
Look closely.
There are no common factors between the numerator and denominator.
So nothing cancels here.
Step 3: Final Answer
Since nothing cancels, this is already in its simplest form:

Quick Review
- You factored both the numerator and the denominator
- You checked for a common factor
- ImagYou simplified (or confirmed it was already simplified)
That’s the full simplification process.
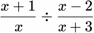
Dividing Rational Expressions
This is where things start to feel a bit different, but the process is actually very consistent.
When dividing rational expressions, you don’t divide directly.
Instead, you multiply by the reciprocal of the second fraction.
Step-by-step idea:
- Keep the first rational expression the same
- Flip the second one (this is the reciprocal of the second)
- Change division into multiply
- Then simplify like normal
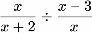
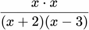
Example

Step 1: Rewrite using multiplication

Step 2: Multiply

Step 3: Simplify if possible

From here, check if any common factor can cancel. If not, this is your simplified form.
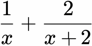
Adding and Subtracting Rational Expressions
This is where many students pause, but once you get the pattern, it becomes manageable.
When adding and subtracting rational expressions, you need a common denominator.
Step-by-step idea:
- Find a common denominator
- Rewrite each fraction
- Add or subtract the numerators
- Simplify the final rational expression
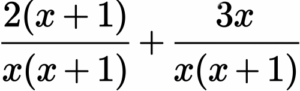
Example

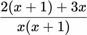
Step 2: Rewrite

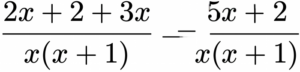
Step 3: Add

Step 4: Simplify
Always check if you can factor and simplify further.

Common Mistakes to Avoid
When learning to simplify rational expressions, most mistakes come from rushing.
Here are a few to watch out for:
1. Canceling Terms Instead of Factors
You can only cancel a common factor, not just any term.
Wrong idea:
- Trying to cancel parts of an addition
Right idea:
- Factor first, then cancel
2. Skipping the Factoring Step
If you don’t factor, you might miss something that can simplify.
Factoring is the key step in the whole process.
3. Forgetting the Common Denominator
When adding rational expressions, skipping this step leads to incorrect answers.
Always find the common denominator first.
4. Not Checking Final Answers
Even after simplifying, always review:
- Can anything else factor
- Did you fully simplify the fraction?
If you keep running into the same mistakes, precalculus tutoring can help you fix gaps in understanding and build stronger problem-solving habits.
Practice Questions (Try It Yourself)
Now it’s your turn to apply the process.
Try these practice questions:
1. Simplify a rational expression

2. Dividing rational expressions

3. Adding rational expressions

Take your time. Follow the steps:
- Factor
- Find a common denominator (if needed)
- Multiply or divide carefully
- Simplify
If these practice questions feel challenging, an online precalculus tutor can walk you through each step and explain where things might be going wrong.
Watching a video explanation or using a resource like Khan Academy can also give you another way to understand the concept.
You’ve Got This
Learning to simplify a rational expression can feel tricky at first, but it’s really about following a clear process.
The more you practice, the more patterns you’ll start to notice.
And if something doesn’t make sense right away, that’s completely normal in math. Sometimes all it takes is a different explanation or a bit more guided practice.
If you need extra support, you can always reach out to Your Private Tutors. We can help you work through practice questions, break down each step, and build your confidence with rational expressions and beyond.
Keep going. You’re making progress.



